福建新華聯合印務集團

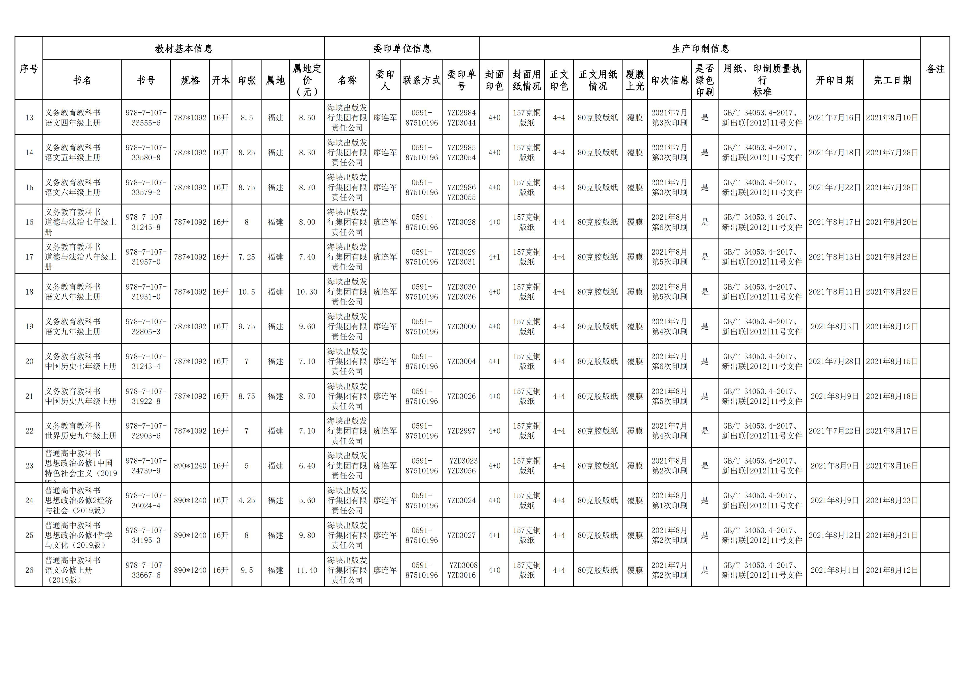
2021年秋(qiu)統編三(sān)科教材(cái)生産印(yìn)制信息(xī)公示明(míng)細表

2021年(nián)秋統編(biān)三科教(jiāo)材生産(chan)印制信(xìn)息公示(shì)明細表(biǎo)如下:
2025-12-16 11:26來(lai)源: 市場(chǎng)營銷部(bu)

手機端(duān)

PC端

总 公(gōng) 司急 速(sù) 版WAP 站H5 版(bǎn)无线端(duān)AI 智能3G 站(zhàn)4G 站5G 站6G 站(zhàn)
·
 
 
·
·